- 软件介绍
- 相关专题
- 下载地址
电阻衰减计算器简介
电阻衰减计算器版是一款专业的电阻衰减计算器工具,页面简洁大方,应用范围广,功能丰富强大,逻辑简洁。电阻衰减计算器版本制作非常简单。只要输入需要的参数,点击正确的按钮,就可以得到各种相关的数值,使用起来简单方便。
电阻衰减计算器功能介绍
衰减类型包括T,桥T等。
电阻衰减计算器版本可以输入阻抗,输出阻抗,衰减等等。
电阻衰减计算器版本支持图形快速查看。
电阻衰减计算器软件特色
该软件的所有功能都集中在一个界面上。
并且用户自定义可以完成设置的输入。
它使用起来非常简单,体积也很小。
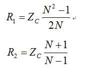
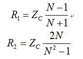
电阻衰减计算器计算公式
对于T型衰减器:
对于PI衰减器:
电阻衰减计算器使用方法
1.这个网站的下载文件找到了& # 8221;电阻衰减计算Att2001.exe & # 8221双击运行;
2.点击软件的应用图标,快速进入软件主界面;
3.支持根据用户使用需求选择衰减类型;
4.用户自定义可以输入你需要的各种计算值,包括电阻、阻抗、衰减等。,然后单击确定;
5.点击确定可以快速得到各种电阻值,包括R1R2R3等。
- 生活实用APP
- 安卓合集
- 软件合集
- 浏览器
- 电脑管家
- 安卓游戏
软件排行榜
- 1Cocosenor Office Repair Tune最新版
- 2Cocosenor Word Repair Tuner官方版
- 3Cocosenor PowerPoint Repair Tuner官方版
- 4Cocosenor Excel Repair Tuner最新版
- 5文章降重修改最新版
- 6Image2LaTeX最新版
- 7CYY文本代替助手官方版
- 8Gillmeister Batch Text Replacer最新版
- 9远方送货单打印
- 10标准体重计算器最新版
- 11远方教育培训学校收据打印专家官方版
- 12远方多栏收据打印最新版
- 13AlReader官方版
- 14移动硬盘数据恢复官方版
- 15云记事本官方版
热门推荐
-
word文档密码破解工具
v4.1.0.1 官方版 / 1.53MB / 简体中文
-
人生日历
官方最新版 v5.2.12.384 / 14.55MB / 简体中文
-
一彩送货单管理系统
V1.5.7.91 正式版 / 6.29MB / 简体中文
-
pdf文件阅读器
v9.1.0 / 215.53MB / 简体中文
-
视频剪辑格式工厂
v3.0.1 / 32.47M / 简体中文
-
PhotoMetri
v2.5.9 / 67.35M / 简体中文
-
specinker
v4.0 / 30.87M / 简体中文
-
晓晓定时关机软件
v2.0 / 1.07M / 简体中文
-
Avatary
v1.2.0 / 460.14M / 简体中文
-
Secure Eraser
v5.1 / 7.59M / 简体中文
装机必备软件
-
word文档密码破解工具应用软件
-
冰点还原永久免费版系统软件
-
人生日历应用软件
-
一彩送货单管理系统应用软件
-
Process View系统软件
-
开心手机恢复大师其他类别
-
pdf文件阅读器应用软件
-
视频剪辑格式工厂应用软件
-
PhotoMetri应用软件
-
specinker应用软件
-
miwifi驱动驱动工具
-
海洋色音效助手影音软件
-
乐播投屏影音软件
-
seo外链助手网络软件
-
AES安全加密记事本安全相关






